



WJL-F耐腐蝕襯氟離心泵又稱其為塑料離心泵、氟塑料離心泵、耐腐蝕離心泵,耐高溫離心泵、四氟離心泵。
WJL-F耐腐蝕襯氟離心泵是本公司全新升級產品,材質采用鋼襯氟塑料F46或耐高溫材質(PFA),可以輸送任意濃度的腐蝕性酸堿性介質,特點是外殼鑄鋼,可以承受管道壓力,過流部件采用內襯耐腐蝕性能材料氟塑料F46或(PFA)材質制成,性能優越。
WJL-F耐腐蝕高溫襯氟離心泵,機械密封可采用單端面機封或雙端面水冷式集裝式機封,雙端面水冷式集裝式機封可輸送含固量20%以下的腐蝕性介質和短時間空轉,是現在化工、環保、醫藥、造紙、鋼鐵行業、有色金屬等行業需要輸送腐蝕性介質場合的重要組成部分。廣泛應用于汽車制造的酸洗工藝、制酸制堿、噴漆工藝、有色金屬冶煉中的電解液輸送、離子膜項目中的氯水輸送、廢水處理、電鍍、化工行業、醫藥、農藥、鋼鐵冶金、造紙行業等。
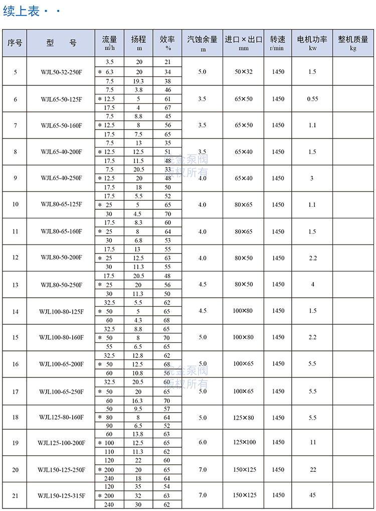
皖金泵閥襯氟離心泵主要參數:
流量范圍:1m³/h-600m³/h
揚程范圍:5m-80m
功率范圍:0.55kw-132kw
適用介質:任意濃度的酸、堿、鹽、有機溶劑等
標準運行溫度:-20℃—150℃ 100℃以上需定制PFA材質
我公司可針對實際工況,選擇不同的配置,提供準確的解決方案。技術咨詢請撥全國服務熱線:0563-5511202

![]() |
![]() |
![]() |
![]() |
![]() |
![]() |
![]() |
![]() |